Tranh cãi

Tin tức mới nhất về Tranh cãi

Hạ viện Anh tranh luận về yếu tố văn hóa trong ăn thịt chó

Nhiều nghị sĩ phát biểu Anh không thể áp đặt quan điểm của mình lên các nước khác, nhưng một số cho rằng không thể lấy văn hóa ra làm bình phong cho việc ăn thịt chó.

Tranh cãi chuyện chị em nghỉ 30 phút 'ngày đèn đỏ'

Theo quy định mới, lao động nữ vào kỳ kinh được nghỉ thêm mỗi ngày 30 phút, tối thiểu 3 ngày trong một tháng. Điều này đã gây tranh cãi 

'Bài toán ở Mỹ gây tranh cãi không khác gì bài toán tính gà ở VN'

Theo TS Vũ Thu Hương (giảng viên Khoa Giáo dục tiểu học - Trường ĐH Sư phạm Hà Nội) bài toán này không khác gì bài toán tính số gà từng gây tranh cãi nảy lửa hồi tháng 9/2014.

Bài toán lớp 3 khiến phụ huynh Mỹ cãi nhau ỏm tỏi

Một bài toán phép nhân đơn giản đã làm dấy lên một cuộc tranh cãi ồn ào giữa các bậc phụ huynh Mỹ.

Obama "dội gáo nước lạnh' vào Donald Trump

Tổng thống Barack Obama tương đối chắc chắn một điều sẽ xảy ra trong cuộc bầu cử năm tới ở Mỹ: Donald Trump sẽ không kế nhiệm ông ở Nhà Trắng.

Nobel Hòa bình 2015 lại gây sửng sốt

Kết quả công bố Nobel Hòa bình 2015 lại khiến dư luận sửng sốt. Hầu hết các dự đoán trước đó về nhân vật được trao giải Nobel Hòa bình năm 2015 đều trật lất.

Bài toán cân tiền khiến phụ huynh thất vọng

“8 đồng xu 1 đô Sing nặng bao nhiêu? 6g, 60g, 600g hay 6kg?”

Hiếu Hiền: Showbiz hay có trò đâm sau lưng!

"Tui đã từng bị chơi xấu nhiều rồi đó chứ. Đau lắm! Showbiz hay có trò đâm sau lưng: Ngoài mặt gặp mình, họ cười nói thân mật. Sau lưng mình, họ đang chơi xấu..." - Hiếu Hiền cười chua chát.

9 quy tắc khi tranh cãi với vợ

Cặp vợ chồng nào cũng có lúc cãi nhau. Vấn đề là làm sao để cãi xong vẫn…vui, vẫn huề và không sứt mẻ tổn thương tình cảm.

Câu hỏi ‘sơn móng tay màu nào’ lại thành hiện tượng

 Một khảo sát khác cho thấy 65% nói rằng “chắc chắn là màu bên phải”, trong khi 35% nói rằng “rõ ràng là màu bên trái”.

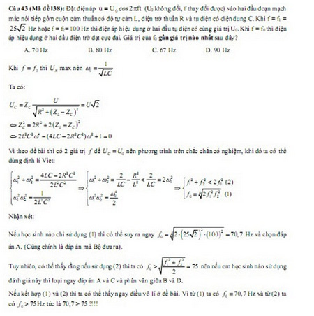
Đề thi môn Vật lí gây tranh luận

Tranh luận xung quanh đáp án được Bộ GD-ĐT đưa ra ở môn thi Vật lí kỳ thi THPT quốc gia cho câu hỏi về điện xoay chiều.

Hành động kỳ quặc của người 'ngăn' ông Chấn nhận 7,2 tỷ

Việc bà Nguyễn Thị Thu Hà (53 tuổi, ở xã Song Mai, thành phố Bắc Giang) có “lá đơn lạ” khiến dư luận nổ nhiều tranh cãi...  

Xung đột chuyện cho con học trước lớp 1

Đến hẹn lại lên, trước mỗi mùa tuyển sinh năm học mới, nhiều phụ huynh có con chuẩn bị vào lớp 1 chia sẻ câu chuyện "Có nên cho con học trước lớp 1?"

Tranh cãi: Đầu tư tiền tỷ du học để thất nghiệp

Có không ít ý ngược với “xu hướng” nhà nhà vượt khó cho con mở mang kiến thức nơi xứ người đưa lập luận: Du học cũng tốt nhưng cần biết lượng sức, để không tiếc khi cầm bằng ngoại về vẫn thất nghiệp như thường… 

TQ mở rộng luật an ninh quốc gia tranh cãi

 Trung Quốc sẽ bổ sung thêm các tài sản và hoạt động của nước này ở trong không gian, dưới biển sâu và các vùng cực vào dự luật an ninh quốc gia.

HH Kỳ Duyên: Vì sao làm gì cũng khó gây thiện cảm?

 Ấn tượng về nhan sắc không thực sự hài lòng số đông công chúng khiến Kỳ Duyên thường bị "soi " nhiều hơn.

"Không nên cấp GPLX số tự động, cần thì sẽ bổ túc!'

 Tổng Cục đường bộ VN cho rằng, việc sửa đổi thông tư cấp giấy phép lái xe (GPLX) số tự động là đáp ứng yêu cầu thực tế của người dân. 

Công an thông báo số phận 5 triệu Yen cho chị ve chai

Hôm nay (12/5), công an quận Tân Bình sẽ có văn bản trả lời về việc chị Hồng có được quyền sở hữu số tiền 5 triệu yen hay không.

Chuyện khó hiểu xung quanh 2 gốc sưa 150 tỷ

Người dân thôn Phụ Chính có đủ cơ sở pháp lý để khẳng định họ được quyền quyết định số phận hai "cụ sưa", nhưng suốt nhiều năm vụ việc vẫn gây tranh cãi bởi những quyết định khó hiểu từ phía các cơ quan chức năng

Sơn Tùng "ám chỉ" ai trong MV mới đầy tranh cãi?

 MV mới nhất của Sơn Tùng M-TP không chỉ nổi loạn đơn thuần mà anh chàng còn hàm chứa khá nhiều nội dung “ngầm” bên trong.