Dưới đây là đề thi môn Toán vào lớp 10 ở Thái Nguyên năm học 2021-2022:
![]() |
| Đề thi môn Toán vào lớp 10 tỉnh Thái Nguyên năm 2021. |
Dưới đây là gợi ý đáp án của Hệ thống giáo dục Hocmai:
![]() |
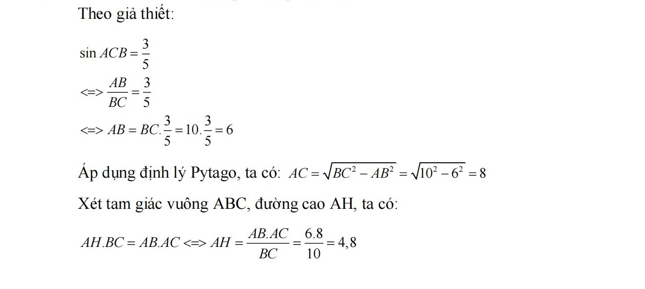
Câu 5
![]() |
|
|
Câu 7
![]() |
![]() |
Câu 9
![]() |
![]() |
Thanh Hùng

Lời giải đề thi lớp 10 môn Toán của Hà Nội
Đề thi môn Toán vào lớp 10 năm 2021 của Hà Nội được đánh giá nhẹ nhàng. Sau đây là hướng dẫn giải đề thi vào lớp 10 môn Toán tại Hà Nội năm 2021

Đáp án môn Lịch sử thi lớp 10 Hà Nội
Sáng 13/6, các thí sinh đã hoàn thành bài thi Lịch sử thi vào lớp 10. Sau đây là đáp án đề thi vào lớp 10 môn Lịch sử tại Hà Nội năm 2021

Kỳ thi vào lớp 10 năm 2021
Thông tin kỳ thi tuyển sinh vào lớp 10 mới nhất. Thông tin đề thi, đáp án, điểm xét tuyển các trường, tra cứu điểm thi toàn quốc.

Lịch thi chi tiết vào lớp 10 chuyên tại Hà Nội
Từ ngày 14 - 17/6, các sĩ tử sẽ bắt đầu tranh suất vào các trường THPT chuyên tại Hà Nội. Bốn trường chuyên và trường có lớp chuyên trực thuộc Sở GD - ĐT Hà Nội sẽ tổ chức thi tuyển sớm nhất, vào ngày 14/6.







