Dưới đây là đáp án tham khảo cho bài thi Toán, thực hiện bởi Thầy Tô Cường, thầy Thái Sơn và đội ngũ giáo viên Trung tâm Toán Mathtech.
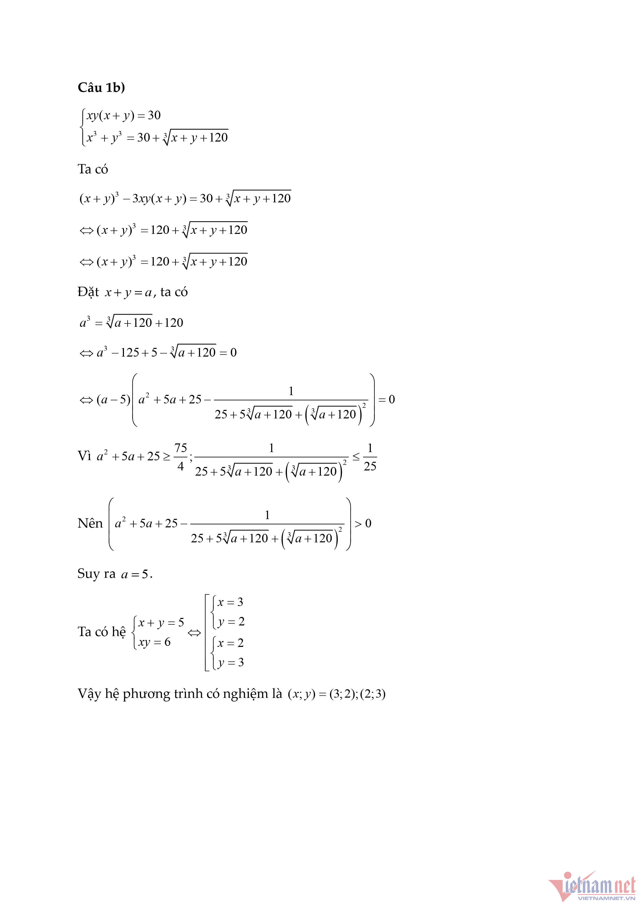
Câu 1:




Câu 3:





Dưới đây là đáp án tham khảo cho bài thi Toán, thực hiện bởi Thầy Tô Cường, thầy Thái Sơn và đội ngũ giáo viên Trung tâm Toán Mathtech.
Câu 1:




Câu 3:




