
Đề thi môn Vật lý như sau:
![]() |
![]() |
![]() |
![]() |
![]() |
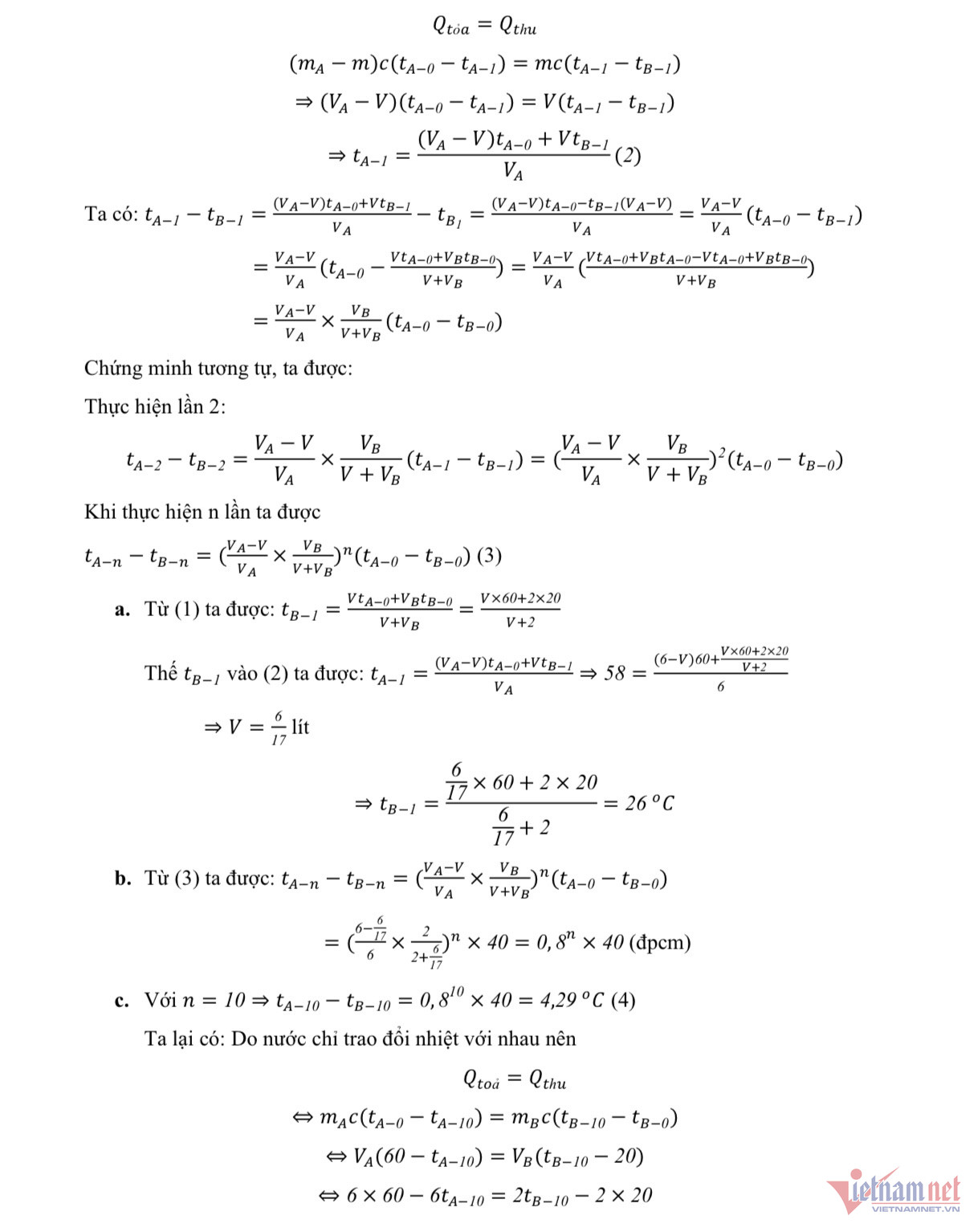
Thí sinh có thể tham khảo đáp án thực hiện bởi các giáo viên Trung tâm Star Education:








Kỳ thi vào lớp 10 TP.HCM diễn ra trong hai ngày 6-7/6. Năm nay, số lượng học sinh lớp 9 dự xét tốt nghiệp THCS là 113.802.
Trong đó, tổng số thí sinh tham dự thi vào lớp 10 là 96.325, chia thành các nhóm: thí sinh chỉ đăng ký xét 3 nguyện vọng thường là 88.237; thí sinh đăng ký xét nguyện vọng tích hợp là 1.147; thí sinh đăng ký xét nguyện vọng chuyên là 6.941 trong đó có 236 thí sinh tỉnh khác.
Học sinh dự thi 3 môn gồm: Toán, Ngữ văn, Ngoại ngữ. Điểm xét tuyển vào lớp 10 thường = điểm Toán + điểm Ngữ văn + điểm Ngoại ngữ + điểm khuyến khích (nếu có).
Thí sinh được đăng ký ba nguyện vọng ưu tiên 1, 2, 3 để xét tuyển vào lớp 10 các trường THPT công lập (trừ Trường THPT Chuyên Lê Hồng Phong, Trường THPT chuyên Trần Đại Nghĩa và Trường Phổ thông năng khiếu, Đại học Quốc gia TP.HCM).
Đối với lớp 10 Chuyên và Tích hợp, thí sinh làm bài thi môn chuyên và tích hợp vào buổi chiều ngày 7/6, thời gian thi môn Chuyên, tích hợp là 150 phút. Điểm xét tuyển lớp 10 Chuyên = điểm Toán + điểm Ngữ văn + điểm Ngoại ngữ + điểm Môn chuyên x 2 + điểm khuyến khích (nếu có).
Trường THPT Chuyên Lê Hồng Phong nhận học sinh THCS các tỉnh khác dự thi nếu đủ điều kiện theo quy định. Học sinh đăng ký 4 nguyện vọng trong đó nguyện vọng 1,2 vào lớp chuyên; Nguyện vọng 3,4 vào lớp không chuyên tại Trường THPT Chuyên Lê Hồng Phong và Trường THPT Chuyên Trần Đại Nghĩa.
Nếu học sinh không trúng tuyển vào trường chuyên, lớp chuyên vẫn được dự tuyển vào lớp 10 THPT.


Đề môn Toán chuyên thi vào lớp 10 của TP.HCM năm 2023





