

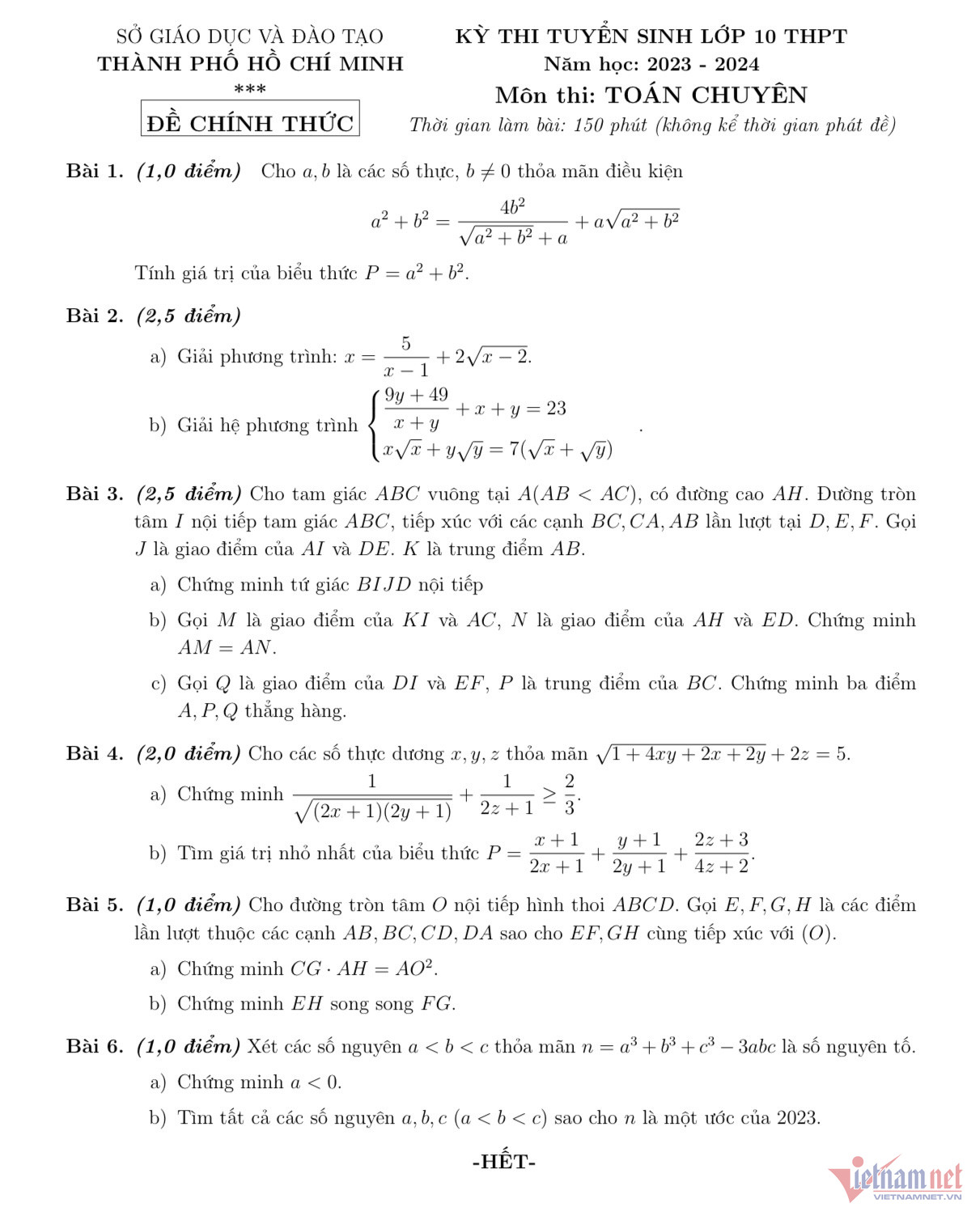
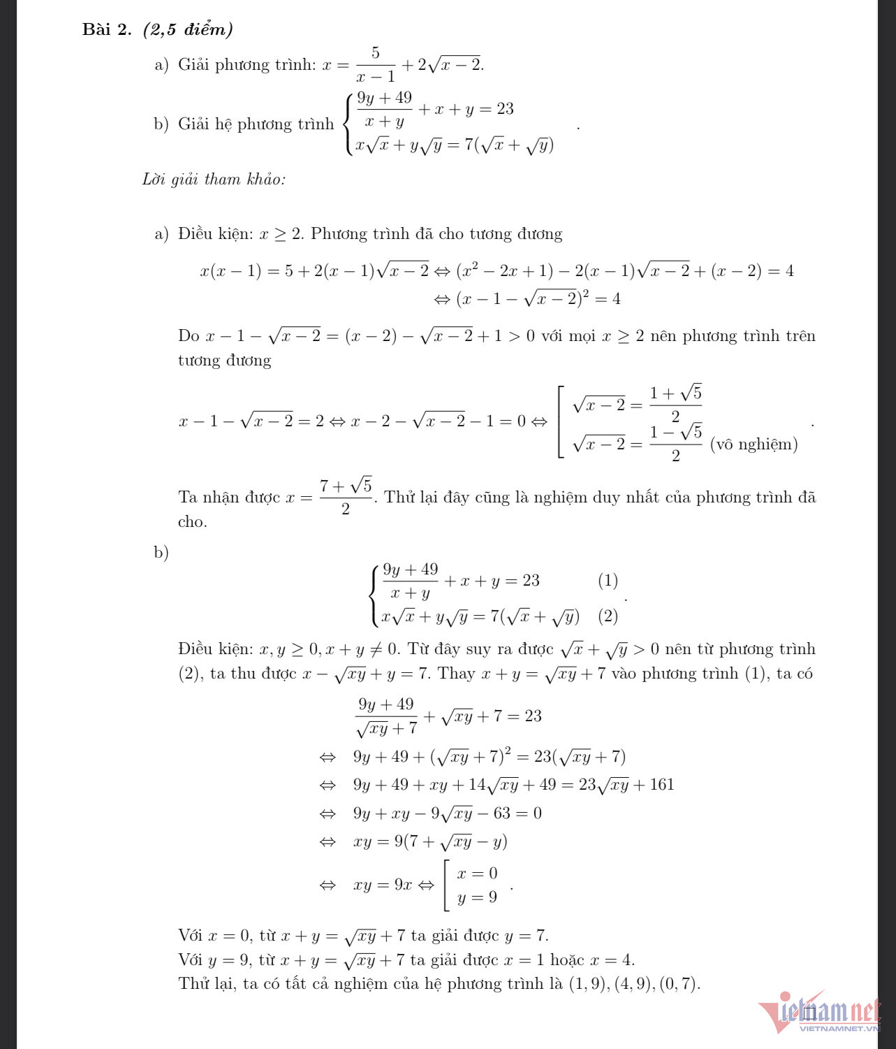
Đề thi chuyên môn Toán vào lớp 10 tại TP.HCM:

Thí sinh có thể tham khảo đáp án thực hiện bởi các giáo viên Trung tâm Star Education:







Thầy Nguyễn Tăng Vũ - giáo viên Trường Phổ thông Năng khiếu- ĐH Quốc gia TP.HCM, đánh giá đề chuyên toán TP.HCM gồm các phần đại số (1, 2, 4) hình học (3, 5) và số học (6), không có phần tổ hợp, học sinh làm bài trong 150 phút.
Với học sinh lớp chuyên đề tương đối vừa sức, hình thức vừa phải, không quá khó, các dạng Toán đã được học trong các chuyên đề dành cho học sinh giỏi.
Để được tuyển vào các lớp chuyên các em phải làm được từ trung bình trở lên. Những học sinh xuất sắc có thể làm được điểm 8, 9, còn điểm 10 phải thực sự xuất sắc và làm bài thật nhanh, cẩn thận.
“Tuy vậy, năm nay đề lại không có phần tổ hợp, thực sự là một thiếu sót vì đây cũng là một trong các phần để kiểm tra tư duy và đánh giá rất tốt năng lực học toán của các em. Theo tôi dù là phần khó nhưng ta vẫn có thể ra một số ý dễ để các em có thể làm bài được, từ đó có động lực để học phần toán này”, thầy Vũ cho biết.
Kỳ thi vào lớp 10 TP.HCM diễn ra ngày 6-7/6. Năm nay, số lượng học sinh lớp 9 dự xét tốt nghiệp THCS là 113.802.
Trong đó, tổng số thí sinh tham dự thi vào lớp 10 là 96.325, chia thành các nhóm: thí sinh chỉ đăng ký xét 3 nguyện vọng thường là 88.237; thí sinh đăng ký xét nguyện vọng tích hợp là 1.147; thí sinh đăng ký xét nguyện vọng chuyên là 6.941 trong đó có 236 thí sinh tỉnh khác.
Kỳ thi diễn ra tại 158 điểm thi. Thành phố huy động 12.306 cán bộ, giáo viên làm cán bộ coi thi và 2.370 nhân viên, bảo vệ, công an… làm nhiệm vụ tại các điểm thi.
Học sinh dự thi 3 môn gồm: Toán, Ngữ văn, Ngoại ngữ. Điểm xét tuyển vào lớp 10 thường = điểm Toán + điểm Ngữ văn + điểm Ngoại ngữ + điểm khuyến khích (nếu có).
Thí sinh sẽ được đăng ký ba nguyện vọng ưu tiên 1, 2, 3 để xét tuyển vào lớp 10 các trường THPT công lập (trừ Trường THPT Chuyên Lê Hồng Phong, Trường THPT chuyên Trần Đại Nghĩa và Trường Phổ thông năng khiếu, Đại học Quốc gia TP.HCM).
Đối với lớp 10 Chuyên và Tích hợp, thí sinh làm bài thi môn chuyên và tích hợp vào buổi chiều ngày 7/6, thời gian thi môn Chuyên, tích hợp là 150 phút. Điểm xét tuyển lớp 10 Chuyên = điểm Toán + điểm Ngữ văn + điểm Ngoại ngữ + điểm Môn chuyên x 2 + điểm khuyến khích (nếu có).
Trường THPT Chuyên Lê Hồng Phong nhận học sinh THCS các tỉnh khác dự thi nếu đủ điều kiện theo quy định. Học sinh đăng ký 4 nguyện vọng trong đó nguyện vọng 1,2 vào lớp chuyên; Nguyện vọng 3,4 vào lớp không chuyên tại Trường THPT Chuyên Lê Hồng Phong và Trường THPT Chuyên Trần Đại Nghĩa.
Nếu học sinh không trúng tuyển vào trường chuyên, lớp chuyên vẫn được dự tuyển vào lớp 10 THPT.
Tiếp tục cập nhật...
Tra cứu điểm thi vào lớp 10 nhanh trên VietNamNet

Điểm chuẩn lớp 10 TP.HCM: Dự đoán trường top từ 23 trở lên

Công bố điểm thi lớp 10 TP.HCM vào ngày 20/6
