
Đề thi vào lớp 10 môn Toán vòng 1 Trường THPT Chuyên Khoa học Tự nhiên 2023
Chiều nay 4/6, các thí sinh dự thi vào lớp 10 Trường THPT Chuyên Khoa học Tự nhiên - ĐH Quốc gia Hà Nội năm học 2023-2024 đã trải qua bài thi môn Toán vòng 1.
Chiều nay (4/6), gần 3.000 thí sinh thi vào lớp 10 Trường THPT Chuyên Khoa học Tự nhiên - ĐH Quốc gia Hà Nội làm bài thi môn Toán (môn chung).
Đề thi như sau:

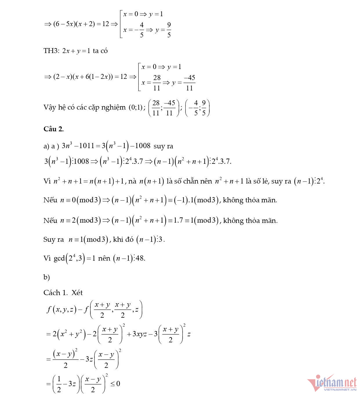
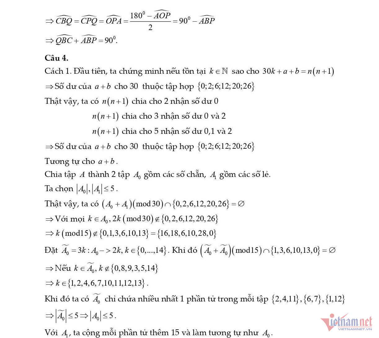
Dưới đây là đáp án gợi ý cho bài thi Toán, thực hiện bởi Thầy Tô Cường, thầy Thái Sơn và đội ngũ giáo viên Trung tâm Toán Mathtech.





Theo PGS.TS Nguyễn Thị Hồng Minh - Trưởng phòng Đào tạo của Trường ĐH Khoa học Tự nhiên - ĐH Quốc gia Hà Nội - tổng số hồ sơ đăng ký dự thi vào lớp 10 Trường THPT Chuyên Khoa học Tự nhiên năm 2023 là 2.975, giảm nhẹ so với năm ngoái (khoảng 200 hồ sơ).
Về công tác coi thi, nhà trường huy động tất cả các đơn vị, khoa trong trường. Trường chia thành 3 điểm thi theo các tòa nhà trong khuôn viên trường, với tổng cộng 70 phòng thi.




