

Đề thi môn Toán vòng 2 vào lớp 10 Trường THPT Chuyên Khoa học Tự nhiên - ĐHQGHN năm 2023 dành cho khối chuyên Toán và chuyên Tin học, với thời gian làm bài 150 phút.
Dưới đây là lời giải gợi ý đề Toán vòng 2 vào lớp 10 Trường THPT Chuyên Khoa học Tự nhiên - ĐHQGHN năm 2023 thực hiện bởi nhóm các thầy Nguyễn Văn Linh, Phan Phương Đức, Trần Xuân Thắng, Nguyễn Chí Định, Lê Tuấn Anh (CLB Helix Education) thực hiện:
Bài 1:


Bài 2:



Bài 3:
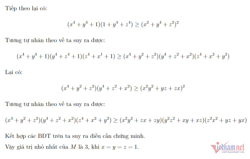
Bài 4:

Năm học 2023 - 2024, Trường THPT Chuyên Khoa học Tự nhiên - ĐHQGHN tuyển 90 chỉ tiêu lớp 10 chuyên Toán và 90 chỉ tiêu chuyên Tin học.
Năm 2023, khối chuyên Toán và chuyên Tin cũng là 2 khối chuyên có số hồ sơ đăng ký thi vào lớp 10 cao nhất của Trường THPT Chuyên Khoa học Tự nhiên - ĐHQGHN.
Cụ thể, với 894 hồ sơ đăng ký dự thi, trong khi số chỉ tiêu là 90, tỷ lệ chọi của khối chuyên Tin học cao nhất trường năm nay, lên đến 1/9,9.
Xếp thứ hai là khối chuyên Toán với 630 hồ sơ đăng ký dự thi, tỷ lệ chọi là 1/7.
Nhà trường cho hay, thí sinh được đưa vào danh sách xét tuyển vào mỗi chuyên phải dự thi đầy đủ 2 bài thi môn chung và bài thi môn chuyên tương ứng, không bị đình chỉ thi. Điểm thi tất cả các môn phải đạt từ 4 trở lên.
Nhà trường cũng lưu ý, điểm môn Ngữ văn là điều kiện, không dùng để tính điểm trúng tuyển.
Điểm trúng tuyển vào chuyên là tổng điểm thi môn Toán (vòng 1) nhân hệ số 1 và điểm thi môn chuyên nhân hệ số 2.
Trường không cộng điểm ưu tiên trong tuyển sinh.
Kết quả thi sẽ được công bố trước ngày 24/6 theo tin nhắn đến số điện thoại thí sinh trong hồ sơ đăng ký dự thi và trên trang web tuyển sinh.
Đối tượng tuyển sinh của Trường THPT Chuyên Khoa học Tự nhiên năm 2023 là thí sinh trên toàn quốc.
Điều kiện dự thi là thí sinh phải xếp loại hạnh kiểm, học lực cả năm học của các lớp cấp THCS từ khá trở lên; xếp loại tốt nghiệp THCS từ khá trở lên.
Mỗi thí sinh được đăng ký dự thi tối đa vào hai trong năm chuyên: Toán học, Tin học, Vật lý, Hóa học, Sinh học.
Tất cả thí sinh đều phải dự thi 2 môn thi chung là môn Ngữ văn và môn Toán (vòng 1). Thí sinh thi các môn chuyên tương ứng với chuyên đăng ký, riêng môn Toán (vòng 2) cho thí sinh thi vào chuyên Toán học và chuyên Tin học. Thí sinh đăng ký 2 chuyên sẽ phải thi 2 môn chuyên (không trùng giờ thi).
Cập nhật thông tin thi tuyển sinh lớp 10 năm 2023 nhanh nhất

Đáp án tham khảo môn Toán vòng 1 thi lớp 10 chuyên Khoa học Tự nhiên 2023

Đáp án tham khảo đề chuyên Toán vào lớp 10 trường chuyên Sư phạm
