

Đề thi môn Toán chung như sau:

Dưới đây là lời giải gợi ý đề Toán vòng 1 vào lớp 10 chuyên Toán Trường THPT Chuyên chuyên Khoa học Tự nhiên Hà Nội năm 2023, thực hiện bởi các thầy Nguyễn Văn Linh, Phan Phương Đức, Trần Xuân Thắng, Nguyễn Chí Định, Lê Tuấn Anh (CLB Helix Education):
Bài 1:


Bài 2:


Bài 3:


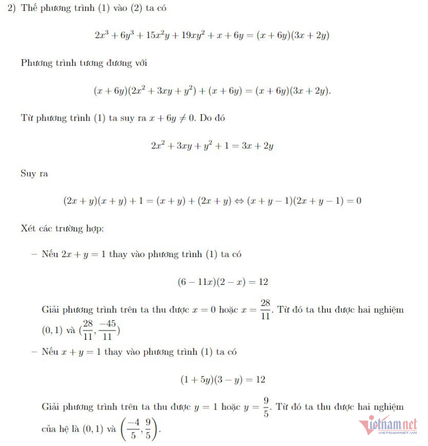
Bài 4:

Với đề Toán này, thầy Trần Xuân Thắng - Giáo viên Trường Liên Cấp Newton, đánh giá: “Đề bài có sự kết hợp giữa những câu hỏi quen thuộc và câu hỏi có tính phân loại cao. Các câu hỏi về phương trình, hệ phương trình, chia hết đều có ý tưởng rõ ràng và quen thuộc nên sẽ không làm khó thí sinh. Tuy nhiên các câu bất đẳng thức, ý số 3 bài hình và bài cuối có tính phân loại cao, có thể gây khó ngay cả với học sinh có nguyện vọng thi chuyên Toán Tin”.
Như vậy, ngày hôm nay 4/6, các thí sinh dự thi vào lớp 10 THPT Chuyên Khoa học Tự nhiên - ĐHQGHN đã hoàn tất bài thi môn Ngữ văn và Toán điều kiện.
Theo kế hoạch, ngày mai 5/6, các thí sinh sẽ làm bài thi môn chuyên theo khối chuyên đăng ký, trong vòng 150 phút.
Năm học 2023 - 2024, Trường THPT Chuyên Khoa học Tự nhiên - ĐHQGHN tuyển 450 chỉ tiêu lớp 10 hệ chuyên (gồm các lớp Toán, Tin học, Vật lý, Hóa học, Sinh học; mỗi khối chuyên 90 chỉ tiêu) và 90 chỉ tiêu lớp chất lượng cao.
Cập nhật những tin tức thi vào lớp 10 năm 2023 mới nhất

Đề thi vào lớp 10 môn Toán vòng 1 Trường THPT Chuyên Khoa học Tự nhiên 2023

Gợi ý đáp án môn Toán chung thi vào lớp 10 trường chuyên Tự nhiên
