đáp án môn Toán

Đáp án môn Toán thi các cấp của cả nước được cập nhật liên tục và nhanh chóng.

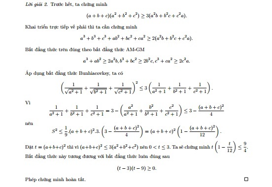
Lời giải đề Toán vòng 2 vào Chuyên Sư phạm năm 2022

Học sinh thi vào lớp 10 chuyên Toán của Trường THPT Chuyên ĐH Sư phạm Hà Nội năm 2022 vừa hoàn thành bài thi môn Toán chuyên kéo dài 120 phút.

Lời giải môn Toán điều kiện vào chuyên Sư phạm năm 2022

Các thí sinh dự thi vào lớp 10 Trường THPT Chuyên ĐH Sư phạm Hà Nội vừa hoàn thành bài thi môn Toán điều kiện kéo dài 90 phút.

Đề thi thử vào lớp 10 môn Toán năm 2022 ở Hà Nội

Trước kỳ thi vào lớp 10, việc thử sức với các đề thi thử có thể giúp học sinh làm quen dạng thức đề, qua đó rèn tâm lý làm bài, cân đối thời gian và thêm tự tin khi bước vào thi chính thức.

Lời giải cho bài bất đẳng thức thi học sinh giỏi lớp 9 tỉnh Bắc Ninh

Kì thi chọn học sinh giỏi lớp 9 tỉnh Bắc Ninh năm học 2021 - 2022 vừa kết thúc vào ngày 16/2 vừa qua.

Đáp án chính thức môn Toán thi tốt nghiệp THPT 2021

Chiều 7/7, các thí sinh dự thi tốt nghiệp THPT năm 2021 đã trải qua bài thi môn Toán. Dưới đây là đáp án môn Toán chính thức của kỳ thi tốt nghiệp THPT năm 2021 từ Bộ GD-ĐT.

Đáp án môn toán thi tốt nghiệp THPT 2021 mã đề 111

Đáp án môn toán thi tốt nghiệp THPT 2021. Cập nhật đáp án môn toán chính thức thi Tốt nghiệp THPT quốc gia 2021

Đáp án môn toán thi tốt nghiệp THPT 2021 mã đề 108

Đáp án môn toán thi tốt nghiệp THPT 2021. Cập nhật đáp án môn toán chính thức thi Tốt nghiệp THPT quốc gia 2021.

Đáp án môn toán thi tốt nghiệp THPT 2021 mã đề 110

Đáp án môn toán thi tốt nghiệp THPT 2021. Cập nhật đáp án môn toán chính thức thi Tốt nghiệp THPT quốc gia 2021.

Đáp án môn toán thi tốt nghiệp THPT 2021 mã đề 102

Đáp án môn toán thi tốt nghiệp THPT 2021. Cập nhật đáp án môn toán chính thức thi Tốt nghiệp THPT quốc gia 2021.

Đáp án môn toán thi tốt nghiệp THPT 2021 mã đề 106

Đáp án môn toán thi tốt nghiệp THPT 2021. Cập nhật đáp án môn toán chính thức thi Tốt nghiệp THPT quốc gia 2021.

Gợi ý đáp án môn Toán thi tốt nghiệp THPT năm 2021

Chiều 7/7, các thí sinh dự thi tốt nghiệp THPT năm 2021 đã trải qua bài thi môn Toán. Dưới đây là đáp án gợi ý cho đề thi môn Toán thi tốt nghiệp THPT 2021.

Đáp án môn Toán, Ngữ văn, tiếng Anh vào lớp 10 Trường PTNK

Sau đây là đáp án môn Toán, Ngữ văn và tiếng Anh vào lớp 10 Trường Phổ thông Năng khiếu năm 2021. 

Hà Nội công bố đáp án chính thức các môn thi vào lớp 10

Ngày 17/6, Sở GD-ĐT Hà Nội đã công bố đáp án chính thức môn tất cả các môn vào lớp 10 năm 2021. Dưới đây là đáp án các môn Toán, Ngữ văn, Tiếng Anh và Lịch sử.

Lời giải đề thi vào lớp 10 chuyên Toán chuyên Sư phạm

Chiều nay 17/6, các thí sinh dự thi vào lớp 10 chuyên Toán, chuyên Tin của Trường THPT Chuyên ĐH Sư phạm đã trải qua bài thi môn Toán vòng 2 trong thời gian 120 phút. Đề thi tương đối nhẹ nhàng, dự kiến điểm thi sẽ khá cao.

Lời giải đề Toán vòng 2 vào Chuyên Sư phạm

Học sinh dự thi vào lớp 10 chuyên Toán của Trường THPT Chuyên ĐH Sư phạm Hà Nội năm 2021 vừa hoàn thành bài thi môn Toán chuyên.

Sở GD-ĐT Hà Nội công bố đáp án và thang điểm môn Toán thi vào lớp 10

Ngày 13/6, các thí sinh dự thi vào lớp 10 ở Hà Nội năm 2021 đã trải qua bài thi môn Toán. Dưới đây là đáp án và thang điểm môn Toán của Sở GD-ĐT Hà Nội.

Lời giải đề Toán điều kiện vào chuyên Sư phạm

Học sinh dự thi vào lớp 10 Chuyên Sư phạm Hà Nội năm 2021 vừa hoàn thành bài thi môn Toán điều kiện. Đề thi được đánh giá cơ bản, quen thuộc.

Đáp án gợi ý đề thi Toán chuyên Khoa học Tự nhiên năm 2021

Sáng nay 16/6 các thí sinh dự thi vào lớp 10 Trường THPT chuyên Khoa học Tự nhiên đã hoàn thành bài thi toán chuyên Toán vòng 2 với thời gian 150 phút. Đề thi được đánh giá là nặng so với các học sinh cấp THCS. 

Hướng dẫn giải đề Toán vòng 1 vào chuyên Khoa học Tự nhiên

Sáng nay 15/6, gần 2.000 thí sinh đăng kí dự thi vào các lớp 10 chuyên của Trường THPT chuyên Khoa học Tự nhiên (Đại học Quốc gia Hà Nội) đã hoàn thành bài thi môn Toán điều kiện.

Lời giải đề Toán điều kiện vào chuyên Khoa học Tự nhiên

Đề thi Toán điều kiện vào Trường THPT chuyên Khoa học Tự nhiên năm 2021 có thời gian làm bài 90 phút. VietNamNet cập nhật nhanh nhất hướng dẫn giải, đáp án đề thi toán vòng 1 vào chuyên Khoa học Tự nhiên.