Năm 2021, Trường THPT Chuyên ĐH Sư phạm Hà Nội có gần 5.100 học sinh đăng ký dự thi. Trường tuyển 305 chỉ tiêu lớp 10 vào các hệ chuyên Toán, Tin học, Vật lý, Hóa học, Sinh học, Ngữ văn và Tiếng Anh.
Năm nay, lớp 10 chuyên Vật lý tuyển 35 chỉ tiêu nhưng có đến 472 hồ sơ đăng ký dự thi, tỷ lệ chọi là 1/13,5.
Thí sinh dự thi vào trường phải làm 3 bài thi gồm Toán, Ngữ văn dành cho tất cả thí sinh và môn chuyên tương ứng với từng lớp chuyên (riêng chuyên Tin thi môn Toán).
Thí sinh chỉ được xét tuyển khi tham dự đủ cả 3 bài, không vi phạm quy chế và không môn nào bị từ 2 trở xuống. Điểm xét tuyển bằng tổng điểm hai bài thi chung (hệ số 1) và bài thi chuyên (hệ số 2).
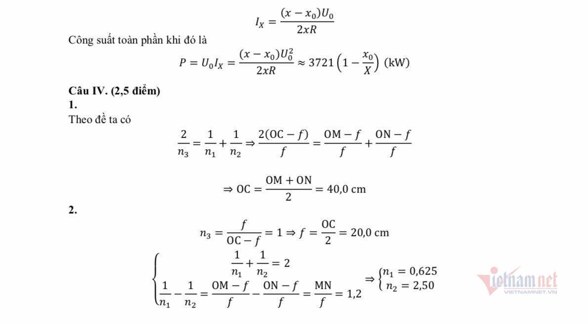
Sau đây là lời giải gợi ý đề Vật lý vào Trường THPT Chuyên ĐH Sư phạm Hà Nội năm 2021:



Phạm Duy Thành

Đề thi vào lớp 10 chuyên Lý trường Chuyên Sư phạm
Chiều 17/6, các thí sinh dự thi vào lớp 10 chuyên Lý của Trường THPT Chuyên ĐH Sư phạm Hà Nội đã hoàn thành bài thi môn Vật lý.

Đề thi chuyên Lý vào chuyên Khoa học Tự nhiên
Chiều ngày 16/6, các thí sinh dự thi vào lớp chuyên Lý của Trường THPT Chuyên Khoa học Tự nhiên đã hoàn thành bài thi môn chuyên kéo dài 150 phút.

Gợi ý giải đề thi vào lớp 10 chuyên Lý năm 2021
Chiều nay, những thí sinh dự thi vào lớp 10 chuyên Lý các trường chuyên, trường có lớp chuyên trực thuộc Sở GD-ĐT Hà Nội đã hoàn thành bài thi. Đề thi năm nay được đánh giá có tính thực tế nhiều hơn các năm trước.