

Sau đây là những dạng Toán không thể bỏ qua do cô giáo Tạ Thu Hương - giáo viên môn Toán trường THCS Giảng Võ (Ba Đình, Hà Nội), đã thống kê. Bên cạnh đó, cô Hương cũng chỉ ra những lỗi học sinh hay mắc phải để các sĩ tử rút kinh nghiệm trong kỳ thi tuyển sinh lớp 10 sắp tới.
Dạng 1: Rút gọn biểu thức
Tuyệt đối không được chép sai đề (luôn phải kiểm tra lại đề trước khi làm bài)
Thực hiện đủ các bước (phân tích mẫu thức ® rút gọn nếu có thể, đổi dấu hợp lý ® quy đồng ® thực hiện phép tính ®rút gọn đến tối giản). Ghi kết quả phải kèm luôn điều kiện (chú ý phân biệt điều kiện: x ≥ 0 và x > 0). Nếu đề bài đã cho điều kiện, rút gọn xong thí sinh phải viết điều kiện đó vào.

Các câu hỏi phụ với yêu cầu “tìm X để…” hay tìm GTLN, NN của biểu thức đều phải đối chiếu X với ĐK rồi mới kết luận. Với câu hỏi tính giá trị của biểu thức phải ghi “với X = …. (thỏa mãn điều kiện)” sau đó tìm giá trị của căn bậc hai của X rồi thay vào biểu thức bằng câu dẫn “khi đó giá trị biểu thức … bằng ”.

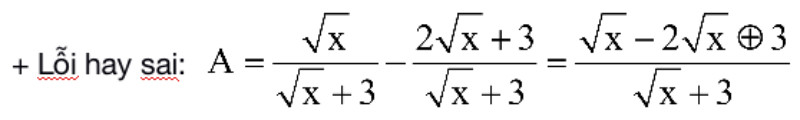
Biểu thức sau dấu trừ tất cả các hạng tử trên tử phải đổi dấu.

Dạng 2: Giải bài toán bằng cách lập phương trình
Lập bảng phân tích và phương trình ra nháp, bấm máy ra kết quả rồi từ đó căn cứ vào bảng trình bày lời giải một cách đầy đủ các đại lượng phải kèm theo đơn vị để không bị mất điểm.
Không được sai điều kiện, thiếu điều kiện, thiếu đơn vị. Nếu đại lượng có giá trị nguyên (là đại lượng đếm được: số sản phẩm, số xe, số quyển sách…) điều kiện (ĐK) của ẩn là x Î N*; nếu có đại lượng biểu diễn qua ẩn là biểu thức hiệu “x – m” phải nhớ ĐK là x ≥ m. Với bài toán làm chung và làm riêng ĐK thời gian làm riêng của mỗi đội phải lớn hơn thời gian cả hai cùng làm xong công việc.
Phải có câu lập luận ra phương trình
Nếu ra phương trình bậc 2 phải giải bằng phương pháp phân tích thành tích hoặc theo công thức nghiệm D chứ không bấm máy ra kết quả sẽ bị mất điểm nhiều.
Giải phương trình xong ra kết quả nhớ ghi “thỏa mãn” hoặc “loại” rồi mới ghi kết luận.
Dạng 3: Hệ phương trình
Trước khi giải xem hệ có cần đặt điều kiện trước không? (ĐK: Mẫu ≠ 0; Biểu thức trong căn ≥ 0)
Nếu hệ có biểu thức phức tạp được lặp lại có quy luật nên giải hệ bằng phương pháp đặt ẩn phụ.
Nếu có điều kiện, ẩn phụ và ẩn chính đều phải đối chiếu với điều kiện rồi ghi “thỏa mãn điều kiện” hoặc “loại” rồi mới kết luận.
Dạng 4: Phương trình bậc hai, quan hệ giữa đường thẳng và Parabol
Phương trình bậc hai
Xác định hệ số a, b, c để kiểm tra việc nhẩm nghiệm (a + b + c = 0 hay a - b + c = 0), và nếu D là bình phương của một biểu thức thì giải cụ thể 2 nghiệm và trả lời yêu cầu của đề bài trực tiếp trên 2 nghiệm mà không cần thông qua Vi-et (chú ý biểu thức đối xứng và không đối xứng).
Với những bài có điều kiện của D (VD : m > 1/2) khi tìm tham số phải đối chiếu với điều kiện. Đọc kĩ đề để phân tích những điều kiện không tường minh (VD: x1, x2 là độ dài hai cạnh góc vuông… điều kiện không tường minh là x1, x2 phải là số dương).
Quan hệ giữa đường thẳng và Parabol
Phải có câu lập luận chuyển từ mối quan hệ giữa đường thẳng và Parabol sang phương trình bậc hai (hoành độ giao điểm). Đặc biệt chú ý: tích hệ số a.c < 0 ta vừa kết luận được d cắt P và còn xác định được vị trí hai giao điểm nằm khác phía Oy.
Những bài về diện tích và khoảng cách nên vẽ đồ thị, những bài về khoảng cách từ gốc tọa độ tới một đường thẳng thì sử dụng hệ thức lượng trong tam giác vuông.
Những bài về yêu cầu tính diện tích thường có 2 cách: một là dùng công thức để tính trực tiếp, nếu không chia hình đó thành tổng hoặc hiệu các hình dễ diện tích.
Bài hình
Bài hình thực tế
Nhận diện dạng hình, yêu cầu cần tính là diện tích hay thể tích
Khi thay p » 3,14 thì nhớ viết dấu “»”
Trả lời đúng yêu cầu đề bài và chú ý đổi đơn vị (nếu cần)
Bài hình học phẳng
Đọc kĩ bài rồi mới vẽ hình, nên vẽ nhanh ra nháp trước, sau đó mới vẽ vào bài. Vẽ hình to, rõ, đẹp bằng bút bi, đường tròn vẽ bút chỉ phải rõ nét. (Bán kính đường tròn tối thiểu là 3,5cm ). Làm đến đâu vẽ hình đến đó, câu d phải vẽ một hình riêng cho rõ ràng.
Hình vẽ trang 2 hoặc trang 4 để làm bài luôn được nhìn hình trực tiếp.
Phải lập luận đủ:
VD: MA là tiếp tuyến (O) Þ MA ^ OA ÞÐMAO = 90 độ.
Xét (O) (hoặc xét đường tròn nội tiếp tứ giác ABCD) ta có:
ÐACD = ÐABD ( 2 góc nội tiếp cùng chắn cung AD)
Các câu a, b, c, nên trình bày hướng ra nháp rồi mới làm vào bài, tránh lập luận dài dòng hoặc tắt, thiếu căn cứ dễ bị trừ điểm đáng tiếc.
Câu c thường khai thác từ giả thiết chưa sử dụng hoặc kết quả có được từ câu a, câu b.
Học sinh thường bị trừ điểm: Hình tẩy xóa bẩn nhìn không rõ; dùng điểm M mà trong hình không có điểm đó, viết nhầm đỉnh: đúng là ÐACB lại viết thành sai ÐABC; tại 1 đỉnh có nhiều góc mà đánh số góc 1; 2 không có vòng cung. Lấy 1 điểm thuộc cung nhỏ thì lại lấy thuộc cung lớn, lấy 1 điểm thuộc tia đối AB lại thảnh ra lấy điểm thuộc tia AB…
Đặc biệt, cô giáo thu Hương lưu ý, khi làm bài thi thí sinh không nghĩ là dễ hay khó, không chủ quan, luôn bình tĩnh, tập trung làm bài chặt chẽ, cẩn thận và sạch đẹp. Trống hết giờ mới bỏ bút, không ra khỏi phòng thi sớm.
>>> Xem lịch thi vào lớp 10 năm 2023 chi tiết các môn mới nhất<<<

Nữ sinh đạt điểm tuyệt đối thi lớp 10 môn Tiếng Anh chỉ phần dễ mất điểm nhất

Thi lớp 10 Hà Nội: Đề thi thử môn Toán trường THCS Kim Giang
