


Đáp án tham khảo môn Toán thi lớp 10 ở Hà Nội năm 2023
Dưới đây là đề thi vào lớp 10 môn Toán của Hà Nội năm 2023:

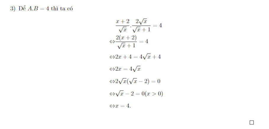
Dưới đây là đáp án tham khảo thực hiện bởi các thầy Nguyễn Văn Linh, Phan Phương Đức, Trần Xuân Thắng, Nguyễn Chí Định, Lê Tuấn Anh (CLB Helix Education):


Bài 2:

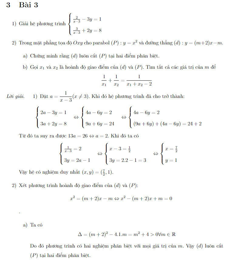
Bài 3:


Bài 4:



Thí sinh dự thi vào lớp 10 các trường công lập không chuyên ở Hà Nội vừa hoàn thành 3 bài thi Toán, Văn, Anh. Ngày mai (12/6), các thí sinh dự thi vào lớp 10 thuộc các trường THPT chuyên và trường có lớp chuyên sẽ tiếp tục làm bài thi môn chuyên.
Cụ thể, buổi sáng, các thí sinh thi các môn chuyên: Ngữ văn, Toán, Tin học, Sinh học, tiếng Pháp, tiếng Đức, tiếng Nhật, tiếng Hàn. Buổi chiều, các thí sinh thi môn Vật lý, Lịch sử, Địa lý, Hóa học, tiếng Anh.
Mỗi thí sinh có thể đăng ký dự tuyển vào các lớp chuyên của 2 trong 4 trường THPT: Chuyên Hà Nội - Amsterdam, Chuyên Nguyễn Huệ, Chu Văn An, Sơn Tây. Học sinh có thể đăng ký nguyện vọng vào cùng 1 môn chuyên của hai trường, nhưng phải xếp theo thứ tự ưu tiên là trường nguyện vọng 1 và trường nguyện vọng 2.
Học sinh có thể đăng ký nguyện vọng vào các môn chuyên khác nhau của hai trường với điều kiện buổi thi của các môn chuyên đó không trùng nhau.
Năm nay, toàn thành phố có 104.917 thí sinh đăng ký nguyện vọng 1; 101.064 thí sinh đăng ký nguyện vọng 2; 64.099 thí sinh đăng ký nguyện vọng 3. Trong số này, có khoảng gần 72.000 em sẽ vào được các trường THPT công lập (khoảng 55,7%).

Điểm chuẩn lớp 10 của Hà Nội được công bố vào ngày 8-9/7. Thí sinh xác nhận nhập học trực tuyến hoặc trực tiếp từ ngày 10-12/7. Ngày 19-22/7, những trường chưa đủ chỉ tiêu sẽ xét tuyển bổ sung.
Mời quý phụ huynh, học sinh tra cứu điểm thi vào 10 năm 2023 chuẩn xác

'Những ngôi sao xa xôi' vào đề thi môn Ngữ văn lớp 10 Hà Nội năm 2023
