


Đề thi lớp 10 môn Toán tại Hà Nội năm 2024

Đáp án gợi ý môn Toán thi tốt nghiệp THPT năm 2024 - 24 mã đề
Đề Toán thi vào lớp 10 Hà Nội năm 2024 như sau:

VietNamNet xin giới thiệu đáp án tham khảo môn Toán thi lớp 10 Hà Nội năm 2024 (thực hiện bởi: Trung tâm Toán học Mathtech (đội ngũ giải bài: thầy Tô Cường, thầy Thái Sơn, cô Đoàn Thảo, cô Diệp Linh, cô Phạm Thảo):
Bài 1:

Bài 2:


Bài 3:


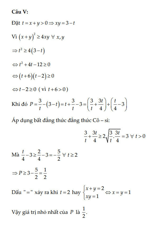
Bài 4:



Bài 5:

Như vậy các thí sinh dự thi vào lớp 10 công lập không chuyên tại Hà Nội năm 2024 đã kết thúc các bài thi. Theo báo cáo nhanh của Sở GD-ĐT Hà Nội về thi lớp 10 môn Ngữ văn sáng 8/6, có 2 thí sinh vi phạm quy chế mang điện thoại vào phòng thi và 488 em vắng mặt trong buổi thi đầu tiên.
Chiều 8/6, số thí sinh dự thi môn tiếng Anh là 105.452/105.911, đạt tỷ lệ 99,56% (vắng 459 thí sinh). Trong đó, không có thí sinh cũng như cán bộ coi thi nào vi phạm quy chế.
Năm 2024, với gần 110.000 thí sinh đăng ký thi lớp 10, chỉ có 81.000 em sẽ vào được các trường công lập.
Kỳ thi vào lớp 10 THPT công lập không chuyên ở Hà Nội năm 2024 được tổ chức trong 2 ngày từ 8 - 9/6, với 3 môn là Toán, Văn, Ngoại ngữ.
Điểm xét tuyển lớp 10 = (Điểm Toán + Điểm Văn) x 2 + Điểm Ngoại ngữ + Điểm ưu tiên.
Các thí sinh dự thi thêm các lớp chuyên sẽ thi thêm ngày 10/6.
Dự kiến chậm nhất ngày 2/7, Hà Nội sẽ công bố điểm thi. Điểm chuẩn lớp 10 của Hà Nội được công bố vào ngày 6-9/7.
Thí sinh trúng tuyển sẽ xác nhận nhập học từ ngày 10-12/7. Ngày 19-22/7, những trường chưa đủ chỉ tiêu sẽ xét tuyển bổ sung.

