
Hôm nay, các thí sinh tham dự kỳ thi vào lớp 10 Trường Phổ thông Năng khiếu (ĐH Quốc gia TPHCM) làm bài thi các môn chuyên.
Đối với môn Toán chuyên, theo nhận xét của thầy Nguyễn Vĩnh Khang, giáo viên Trung tâm Star Education, thì đề thi năm nay có tính phân loại cao và dài hơn năm ngoái (150 phút so với 120 phút).
"Cấu trúc đề vẫn giữ như năm ngoái, gồm các phần đại số (câu 1 và 2), số học (câu 3), hình học (câu 4) và tổ hợp (câu 5). Một số câu mang tính loại trừ bao gồm câu 1, câu 3a, và câu 4a, 4b.
Những câu khó hơn, mang tính phân loại, bao gồm câu 2, câu 3b (số học), câu 4c và câu 5a. Cuối cùng, những câu 3c, 4d và 5b là các câu khó nhất trong đề dành các học sinh có năng khiếu về toán.
Nhìn chung đề dài và khó hơn năm ngoái, nhưng cũng không có ý tưởng mới, nên những học sinh học chắc và làm bài cẩn thận thì sẽ được kết quả tốt" - thầy Khang phân tích.
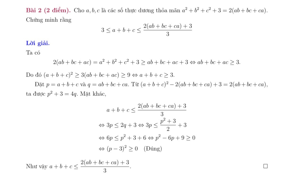
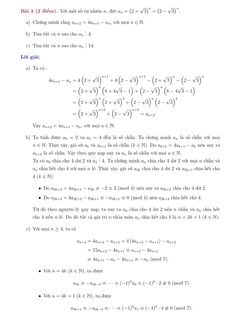
Dưới đây là gợi ý lời giải bài thi môn Toán chuyên do các giáo viên của Trung tâm Star Education thực hiện.











Đề thi lớp 10 môn Văn chuyên Trường phổ thông Năng khiếu 2024
