

Ngày 26 và 27/5 vừa qua, Trường Phổ thông Năng khiếu tổ chức kỳ thi tuyển sinh vào lớp 10 năm 2023 với 10 môn thi. Trong đó, 3 môn không chuyên gồm Toán, Ngữ văn, Tiếng Anh; 7 môn chuyên gồm: Toán, Tin học, Vật lý, Hóa, Sinh, Ngữ văn, Tiếng Anh.
Bài thi môn không chuyên gồm cả hai phần tự luận và trắc nghiệm; Bài thi môn chuyên theo hình thức tự luận.
Tổng số thí sinh đăng ký dự thi vào lớp 10 của trường năm nay là 3.092. Số lượng dự thi môn chung là 3.092 thí sinh. Trong đó chuyên Toán có số thí sinh dự thi đông thứ hai (sau chuyên Anh) là 864.
Số thí sinh dự thi các lớp chuyên khác gồm: chuyên Lý 285 thí sinh, chuyên Hoá 419 thí sinh, chuyên Sinh 184 thí sinh, chuyên Tin 162 thí sinh, chuyên Văn 573 thí sinh, chuyên Anh có 1.254 thí sinh.
Tính chung, tỷ lệ "chọi" vào Trường Phổ thông Năng khiếu là 1/5. Trong đó, chuyên Toán có tỷ lệ chọi là 1/8,2, giảm so với năm ngoái (là 1/9,6).
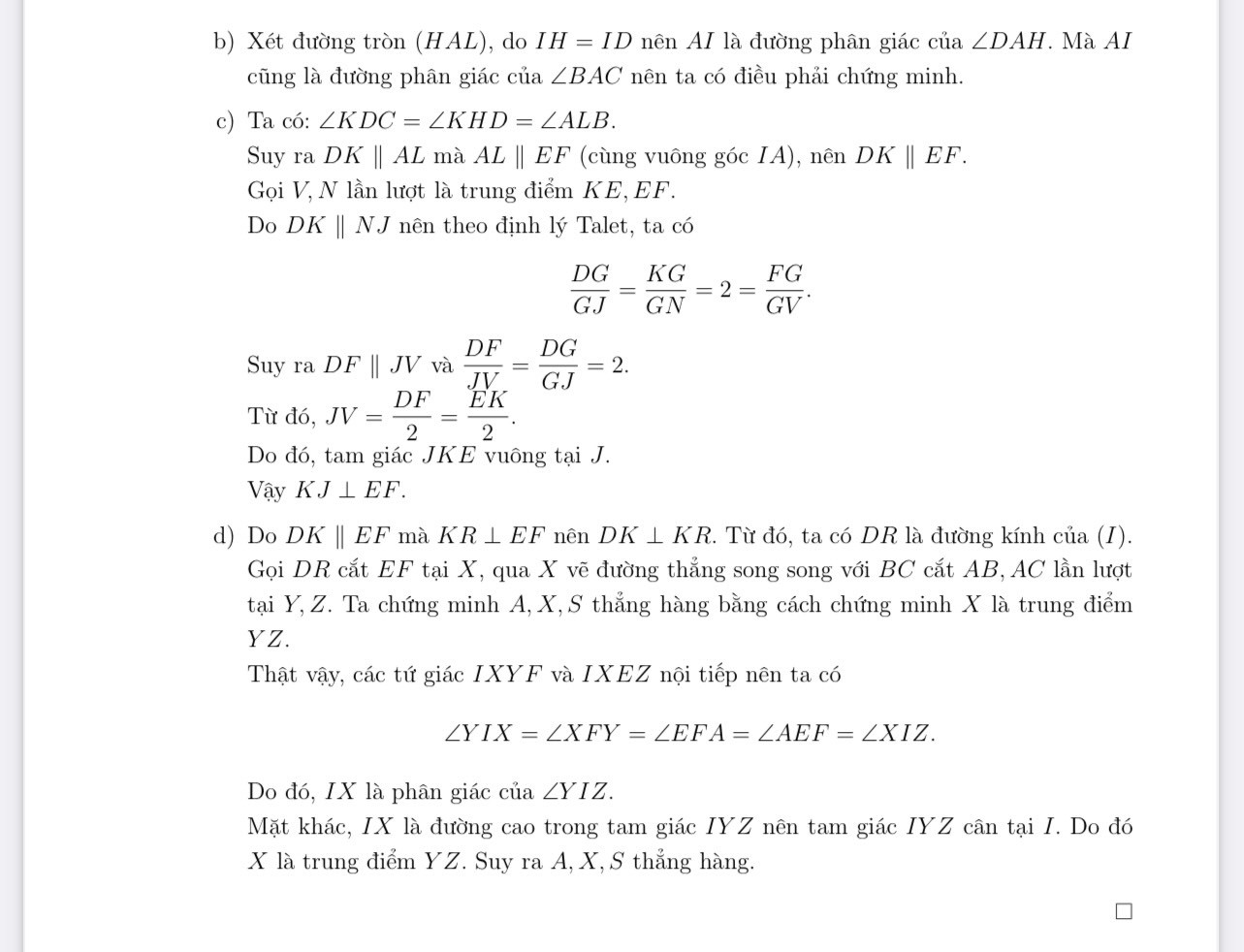
Dưới đây là gợi ý lời giải đối với bài thi môn Toán chuyên (buổi thi chiều ngày 27/5):






Tra cứu điểm thi lớp 10 năm 2023 chính xác và nhanh nhất
Thực hiện: Các giáo viên TT Star Education

Trường đầu tiên ở TP.HCM công bố điểm chuẩn vào lớp 10

Phổ điểm các môn thi vào lớp 10 Hà Nội năm 2023 sẽ như thế nào?
