
Đề thi thử môn Toán tốt nghiệp THPT 2023 của Trường THPT Chuyên Biên Hòa (Hà Nam) gồm 50 câu với thời gian làm bài 90 phút.
Đề thi cụ thể như sau:






Kỳ thi tốt nghiệp THPT năm 2023 sẽ diễn ra từ ngày 27-30/6. Cụ thể, ngày 27/6, các thí sinh sẽ làm thủ tục dự thi, ngày 28 và 29/6 tổ chức thi, ngày 30/6 là ngày thi dự phòng.
Việc tổ chức chấm thi; gửi dữ liệu kết quả thi về Bộ GD-ĐT và đối sánh kết quả thi hoàn thành chậm nhất vào 17h ngày 15/7.
Theo kế hoạch, kết quả thi tốt nghiệp THPT năm 2023 sẽ được công bố vào 8h ngày 18/7. Việc xét công nhận tốt nghiệp THPT sẽ hoàn thành chậm nhất ngày 20/7. Muộn nhất ngày 22/7, các Sở GD-ĐT sẽ công bố kết quả tốt nghiệp THPT.
Việc in và gửi giấy chứng nhận kết quả thi cho thí sinh hoàn thành muộn nhất ngày 24/7.
PGS.TS Huỳnh Văn Chương, Cục trưởng Cục Quản lý chất lượng (Bộ GD-ĐT), cho biết định hướng ra đề thi của Bộ GD-ĐT giữ nguyên như năm 2022, nội dung thi nằm trong chương trình THPT. Đồng thời, có sự tăng cường hợp lý một số nội dung liên quan đến vận dụng thực tiễn ở một số môn, từng bước tiệm cận với định hướng đánh giá năng lực phù hợp với mục tiêu, yêu cầu phát triển năng lực phẩm chất người học của Chương trình giáo dục phổ thông 2018.
Mời quý phụ huynh, học sinh tra cứu điểm thi THPT quốc gia trên VietNamNet


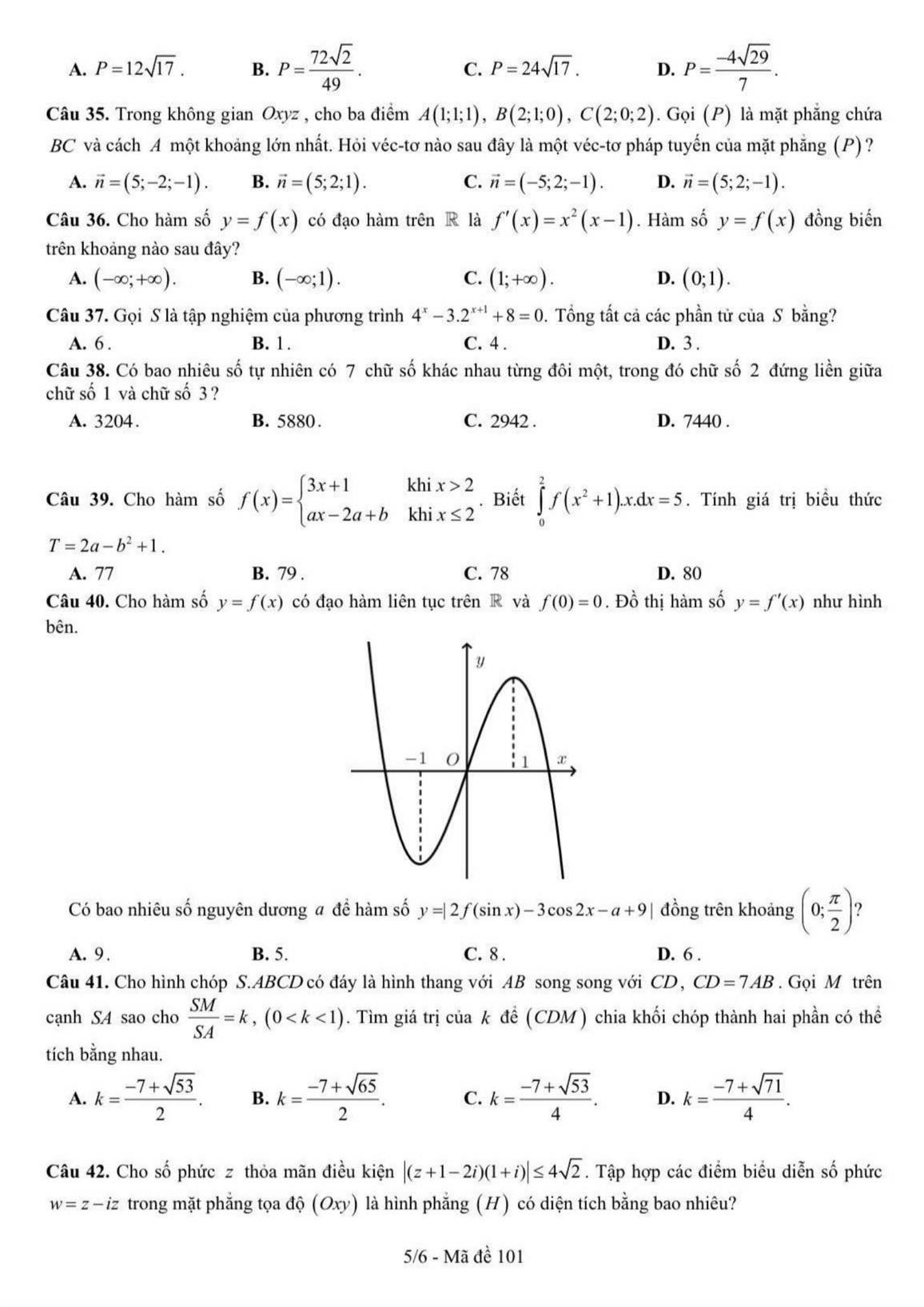
Thi lớp 10 Hà Nội: Đề thi thử môn Toán của huyện Gia Lâm

