
Đại học Bách khoa Hà Nội cho biết đã áp dụng phương pháp bách phân vị để tìm ra các mức điểm chuẩn tương đương giữa 3 phương thức: Xét tuyển tài năng, Xét tuyển theo điểm thi Đánh giá tư duy và Xét tuyển theo điểm thi tốt nghiệp THPT.
Bên cạnh đó, Đại học Bách khoa Hà Nội tiến hành thống kê, phân tích dữ liệu tuyển sinh của 3 năm trở lại đây, các tổ hợp xét tuyển khác nhau, phân tích phổ điểm xét tuyển tài năng theo các diện, phổ điểm bài thi TSA, phổ điểm thi tốt nghiệp THPT với tổ hợp gốc là A00 (Toán – Lý - Hóa) để làm căn cứ xác định khoảng phân vị tương quan.
Trên cơ sở đó, tổ chuyên gia đã xây dựng Bảng phân vị tương quan giữa các phương thức tuyển sinh.
Bảng phân vị tương quan mức điểm chuẩn giữa các phương thức tuyển sinh của Đại học Bách khoa Hà Nội:

Đối với các tổ hợp điểm thi tốt nghiệp THPT khác ngoài tổ hợp gốc A00 cũng sẽ được Đại học Bách khoa Hà Nội tính toán dựa theo các mức điểm chênh tương ứng do Bộ GD-ĐT công bố cùng điểm thi tốt nghiệp THPT.
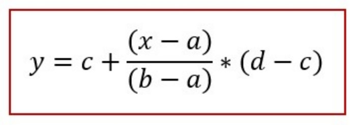
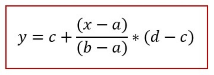
Từ Bảng phân vị tương quan với các giá trị khoảng điểm phân vị cụ thể sẽ thực hiện nội suy hàm quy đổi mức điểm chuẩn giữa các phương thức tuyển sinh khác nhau. Theo đó, từ mức điểm chuẩn thuộc khoảng phân vị của phương thức tuyển sinh này sẽ được nội suy tương đương sang mức điểm chuẩn thuộc khoảng phân vị tương ứng với phương thức tuyển sinh khác theo công thức như sau:

Ví dụ về cách tính quy đổi điểm chuẩn tương đương cho dữ liệu năm 2024
Xây dựng Bảng phân vị tương quan mức điểm chuẩn giữa các phương thức tuyển sinh năm 2024: Dựa trên các dữ liệu tuyển sinh năm 2024 và kết quả học tập của sinh viên, Bảng phân vị tương quan mức điểm chuẩn giữa các phương thức tuyển sinh của Đại học Bách khoa Hà Nội được xác định cụ thể như sau:

Minh họa cách tính quy đổi điểm chuẩn tương đương
Ví dụ trong năm 2024, điểm chuẩn (điểm trúng tuyển) của ngành/chương trình Kỹ thuật vi điện tử và Công nghệ nano của Đại học Bách khoa Hà Nội theo phương thức đánh giá tư duy là 71.68 điểm (x = 71.68).
Như vậy mức điểm chuẩn này sẽ thuộc khoảng phân vị 3 (khoảng 3), có giá trị điểm đánh giá tư duy từ [68.55 - 74.77). Khi đó điểm chuẩn tương đương đối với điểm thi tốt nghiệp THPT sẽ thuộc khoảng phân vị tương ứng (khoảng 3) có giá trị điểm thi tốt nghiệp THPT từ [27.14 - 28.04). Từ đó xác định các hệ số quy đổi tương ứng sẽ là:
a = 68.55; b = 74.77; c = 27.14; d = 28.04
Áp dụng công thức nội suy tính điểm chuẩn tương đương đối với điểm thi tốt nghiệp THPT y từ điểm chuẩn đánh giá tư duy x = 71.68 sẽ được tính như sau:


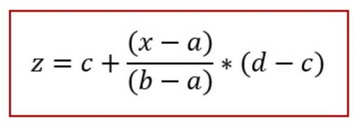
Tương tự, tính điểm chuẩn tương đương đối với điểm xét tuyển tài năng diện 1.3 cho chương trình MS2 sẽ thuộc khoảng phân vị tương ứng (khoảng 3) có giá trị điểm xét tuyển tài năng từ [73.87 - 87.20). Khi đó các hệ số quy đổi tương ứng sẽ là:
a = 68.55; b = 74.77; c = 73.87; d = 87.20
Áp dụng công thức nội suy tính điểm chuẩn tương đương đối với điểm xét tuyển tài năng diện 1.3 z từ điểm chuẩn ĐGTD x = 71.68 sẽ được tính như sau:


