
Phổ điểm các môn thi vào lớp 10 của TP.HCM sẽ như thế nào?
Cả ba đề thi Ngữ Văn, Toán và Tiếng Anh trong kỳ thi vào lớp 10 của TP.HCM năm nay đều được nhận xét có tính phân hóa cao. Vậy dự kiến phổ điểm của các môn này sẽ ra sao?
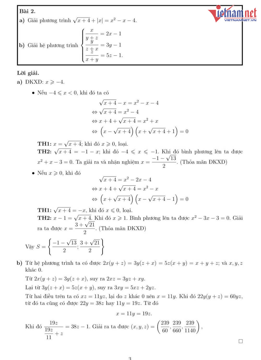
Sau đây là lời giảỉ gợi ý của đề thi chuyên Toán lớp 10 năm 2022:







Năm nay, toàn TP.HCM có 108.290 học sinh xét tốt nghiệp THCS. Tuy nhiên, chỉ có 94.076 thí sinh dự thi vào lớp 10. Con số này tăng hơn 11.000 thí sinh so với năm 2021. Trong đó có 6.484 thí sinh đăng ký dự thi vào trường chuyên, lớp chuyên; 1.035 thí sinh đăng ký dự thi vào chương trình tích hợp.
Để tổ chức kỳ thi Sở GD-ĐT đã huy động 11.859 giáo viên làm cán bộ coi thi và 1.800 nhân viên, bảo vệ, công an… làm nhiệm vụ tại các điểm thi.
Người thực hiện: Nguyễn Tiến Lâm - Cao Văn Dũng - Phan Hữu An - Mẫn Bá Tuấn - Trịnh Huy Vũ (CLB Toán A1)


