
Đề thi Toán vào lớp 10 chuyên Tin của Hà Nội năm 2022
Năm nay, tổng chỉ tiêu vào hệ chuyên của các trường trực thuộc Sở GD-ĐT Hà Nội là 1.750. Trong buổi sáng nay, các thí sinh dự thi vào chuyên Tin học đã hoàn thành bài thi môn chuyên của mình.
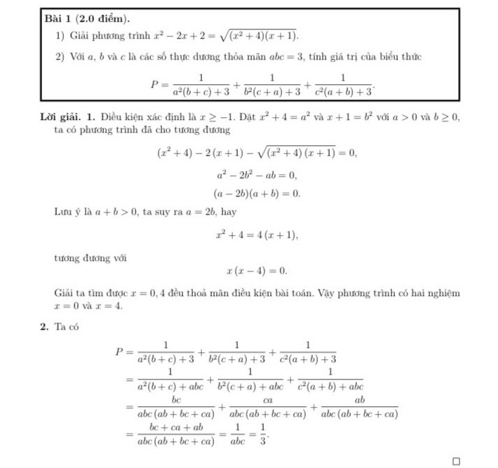
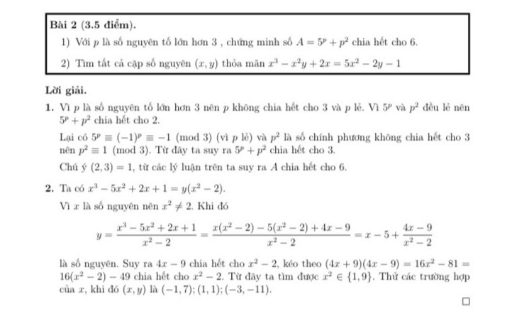
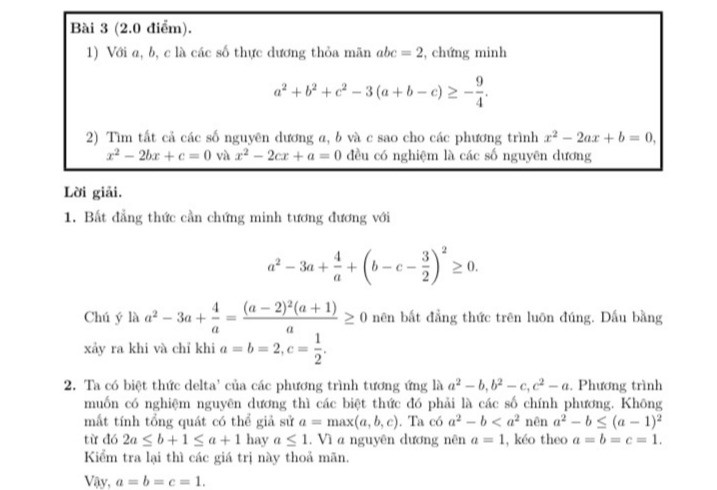
Lời giải gợi ý môn Toán thi vào lớp 10 chuyên Tin của Hà Nội năm 2022 như sau:






Theo thống kê của Sở GD-ĐT Hà Nội, tổng số lượt đăng ký vào 12 môn chuyên của bốn trường, gồm THPT chuyên Hà Nội - Amsterdam, chuyên Nguyễn Huệ, Chu Văn An, Sơn Tây, là 13.265.
Số lượt đăng ký nhiều hơn số thí sinh bởi một em có thể đăng ký vào các lớp chuyên của hai trong bốn trường, miễn lịch thi của hai môn chuyên không trùng nhau.
Sở không công bố số lượng thí sinh và tỷ lệ chọi vào hệ chuyên của từng trường năm nay mà chỉ cho biết tổng chỉ tiêu vào hệ chuyên của bốn trường là 1.750.
Nhóm tác giả: Nguyễn Tiến Lâm - Phan Anh Quân - Bùi Mạnh Toàn - Trịnh Huy Vũ - Mẫn Bá Tuấn - Phan Hữu An - Đỗ Xuân Trọng- Cao Văn Dũng (CLB Toán A1)




