
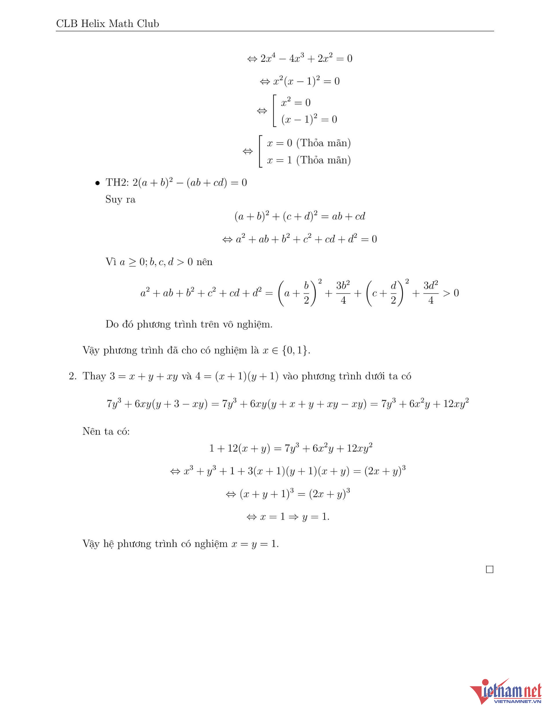
Đề Toán chuyên vòng 2 thi vào lớp 10 Trường THPT Chuyên Khoa học Tự nhiên (Hà Nội) năm 2025 với thời gian làm bài 150 phút như sau:

Dưới đây là lời giải gợi ý được thực hiện bởi thầy Nguyễn Văn Linh, Trần Xuân Thắng, Nguyễn Chí Định, Nguyễn Dương Minh, Khuất Bá Lương, Bùi Việt Hải, Lê Hiển, Nguyễn Tuệ Minh (CLB Toán Helix Education):







Năm học 2025-2026, Trường THPT Chuyên Khoa học Tự nhiên (thuộc Trường ĐH Khoa học Tự nhiên - ĐH Quốc gia Hà Nội) tuyển 525 chỉ tiêu lớp 10 (gồm các lớp Toán, Tin học, Vật lý, Hóa học, Sinh học; mỗi khối chuyên 105 chỉ tiêu).
Chia sẻ với VietNamNet, TS Lê Công Lợi, Hiệu trưởng Trường THPT Chuyên Khoa học Tự nhiên cho biết, năm 2025, trường nhận được 3.000 hồ sơ đăng ký thi vào lớp 10, trong đó nhiều nhất là ở khối chuyên Tin học.
Với 855 hồ sơ đăng ký dự thi, tỷ lệ chọi của khối chuyên Tin học lên đến 1/8,1; tức 8 em dự thi chỉ lấy 1. Xếp thứ hai là khối chuyên Toán với 603 hồ sơ đăng ký dự thi, tỷ lệ chọi là 1/5,7. Khối chuyên Vật lý và Hóa học lần lượt tỷ lệ chọi là 1/5,1 và 1/5,6. Khối chuyên Sinh học có tỷ lệ chọi thấp nhất 1/3,9.
Kỳ thi vào lớp 10 Trường THPT Chuyên Khoa học Tự nhiên năm 2025 diễn ra trong 2 ngày, 1/6 và 2/6.
Tất cả thí sinh đều phải dự thi 3 môn thi chung là Ngữ văn, Toán (vòng 1) và Tiếng Anh.
Thí sinh thi môn chuyên (150 phút) tương ứng với khối chuyên đăng ký, bao gồm: Môn Toán (vòng 2) cho thí sinh thi vào chuyên Toán và chuyên Tin học; môn Tin học cho thí sinh thi vào chuyên Tin học; môn Khoa học Tự nhiên - Kiến thức và kỹ năng Vật lý cho thí sinh thi vào chuyên Vật lý; môn Khoa học Tự nhiên - Kiến thức và kỹ năng Hóa học cho thí sinh thi vào chuyên Hóa học; môn Khoa học Tự nhiên - Kiến thức và kỹ năng Sinh học cho thí sinh thi vào chuyên Sinh học.
Thí sinh thi vào chuyên Tin học có thể chọn thi 1 trong 2 môn chuyên là Toán (vòng 2) hoặc Tin học; chỉ tiêu cho các thí sinh thi môn chuyên Toán (vòng 2) là 70 và môn chuyên Tin học là 35.
Hình thức thi là trắc nghiệm đối với môn Tiếng Anh; trắc nghiệm kết hợp với tự luận đối với môn Ngữ văn; tự luận đối với các môn Toán (vòng 1), Toán (vòng 2), Khoa học Tự nhiên - Kiến thức và kỹ năng Vật lý, Khoa học Tự nhiên - Kiến thức và kỹ năng Hóa học, Khoa học Tự nhiên - Kiến thức và kỹ năng Sinh học; lập trình trên máy tính đối với môn Tin học.
Thí sinh trong danh sách xét tuyển vào mỗi khối chuyên phải dự thi đầy đủ 3 bài thi môn chung (Ngữ văn, Tiếng Anh và Toán (vòng 1)) và bài thi môn chuyên tương ứng, không bị đình chỉ thi. Điểm thi tất cả các môn phải đạt từ 4 trở lên.
Điểm môn Ngữ văn và môn Tiếng Anh là điều kiện, không dùng để tính điểm trúng tuyển.
Điểm trúng tuyển là tổng điểm thi môn Toán (vòng 1) nhân hệ số 1 và điểm thi môn chuyên nhân hệ số 2. Trường không cộng điểm ưu tiên, khuyến khích trong tuyển sinh.
Kết quả thi sẽ được trường công bố trước ngày 24/6 theo tin nhắn đến số điện thoại của thí sinh trong hồ sơ đăng ký dự thi, trên trang web tuyển sinh, trang web của trường.



